【电气】自感电感和互感电感有什么区别?
2025-8-22新闻
在电气领域,我们经常会遇到许多容易混淆的专业术语。这次我们将详细解释容易出错的"自感电感"和"互感电感"之间的区别。
自 感 电 感 是 什 么 ?
当电流在回路或线圈等闭合曲线中流动时,其周围会产生磁通。根据法拉第定律,当磁通发生变化时,回路中会产生感应电动势,因此当电流流过回路时:
1)向回路中通电。
2)流动的电流在回路周围产生磁通。
3)当回路周围的磁通发生变化时,就会在该回路中产生电动势。
这就是指在电路本身产生电动势。此时,当在某个电路中通电流时,该电路自身产生多大的电动势,这被称为"自感"。
而且,这个电动势的变化方向与电流的变化方向相反。
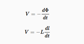
详细观察自感时,电流在电路中流动时产生的磁通如下所示:
根据法拉第定律,电动势可以表示如下。
这里的比例常数 L 被称为自感。
互 感 是 什 么 ?
当两个电路或线圈彼此相近时,一个电路中流动的电流产生的磁场会影响另一个电路,并在其中产生电动势。
让我们逐步梳理如下。
1)在一个电路中通入电流。
2)流动的电流在电路周围产生磁通。
3)由于附近磁通发生变化,另一个电路中也会产生电动势。
这就是所谓的互感,在这种情况下,最初在一个电路中通过的电流会在另一个电路中产生多大的电动势,这被称为"互感"。
仔细研究互感,当在回路 1 中流过电流 I1 时,在回路 1 周围产生的磁通变化,如果该回路的自感为 L1,则可以表示如下。
同时,在附近的电路 2 中产生的感应电动势也与电路 1 产生的磁通成正比,使用此磁通Φ表示时,情况如下:
此时的 M 被称为"互感"。
1)回路自身产生的电动势程度称为"自感电感"
2)一个回路中电流对另一个回路产生的电动势程度被称为"互感"
现在您已经很清楚"自感"和"互感"这两个术语的含义了。由于这两个词看起来很相似,请务必小心不要混淆。
# 免责声明 # 本文转自网络,版权归原作者所有,如涉及作品版权问题,请及时与我们联系删除,谢谢!





